NED Holdings

(Latest Revision: 24 May 2017)

Database Contents

    This table gives NED's current total holdings:

    Data Type Total
    Sources and Objects
    Unprocessed Catalog Sources (not cross-matched) 472,607,072
    Distinct Objects 253,093,225
    Multiwavelength Cross-IDs 301,205,297
    Object Associations 1,413,595
    References
    Distinct References 107,427
    Publication Abstracts 81,128
    Object Links to References 40,641,817
    Data
    Photometric Data Points 2,330,215,150
    Diameters 608,833,152
    Redshifts 11,324,496
    Objects with Redshifts 5,925,648
    Redshift-Independent Distances 111,821
    Objects with Redshift-Independent Distances27,151
    Detailed Classifications 502,105
    Objects with Detailed Classifications229,792
    Detailed Object Notes 75,392
    Images 2,529,532
    Spectra 578,203


Object Type Distribution

    This table gives the distribution of selected, abundant NED object types (as of May 2016):

    Object Type Count
    Extragalactic
    Galaxy (G) 102,490,023
    Quasar (QSO) 172,496
    Galaxy Cluster (GClstr) 158,510
    Galaxy Group (GGroup) 94,088
    Galaxy Pair (GPair) 29,087
    Galaxy Triple (GTrpl) 7,240
    Unclassified
    Point Source (*) 68,272,147
    UV (UvS) 37,351,595
    Radio (RadioS) 2,039,420
    Visual (VisS) 1,824,359
    IR (IrS) 1,673,335
    X-ray (XrayS) 413,959
    UV Excess (UvES) 130,901
    Gamma ray (GammaS) 5,551
    Parts of Galaxies
    HII region (HII) 34,007
    Star Cluster (*Cl) 28,103
    Variable Star (V*) 13,754
    Supernova (SN) 9,402
    Molecular Cloud (MCld) 2,082
    Milky Way Stars
    Star (!*) 89,729
    White Dwarf (WD*) 9,510
    Variable (!V*) 4,269


Sky Density

The distribution of NED objects on the sky as of 2016 November. The data are plotted in Galactic coordinates. The color bar shows the number density ranging from 0 (black) to 3.6 million (red) objects per square degree.


Redshift Distribution

The spectroscopic and photometric redshift (look-back time) distributions of NED objects as of 2015 April.

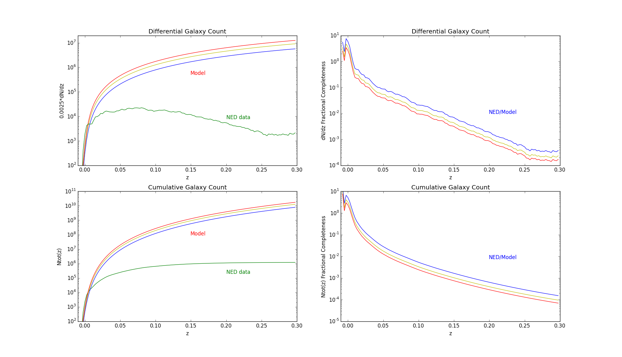
Comparison to Model Predictions

We present here preliminary results (NED 2015, in prep.), comparing the NED spectroscopic redshift distribution at z<0.3 with a simple cosmological model. This gives an idea of the relative completeness of NED as a function of redshift.

(Top left) Differential counts of galaxies with spectroscopic redshifts (~1 million with z<0.3) in NED. These are compared to model predictions of the galaxy redshift distribution, obtained by multiplying the comoving volume element by an empirical estimate of the galaxy number density. We assume that galaxy number density is redshift-independent at these low redshifts, and estimate its value by integrating over published Schechter function fits to the observed galaxy luminosity function (e.g., Blanton et al. 2003; Zucca et al. 2012 ), with a lower luminosity cutoff of L/L*=0.0001. We assume a cosmology with H0=68 km/s/Mpc, Omega(matter)=0.3, Omega(Lambda)=0.7, and Omega(k)=0.0. The three model curves show the median and 1-sigma variation in published estimates of the average galaxy density in this redshift range. The size of the redshift bins is dz=0.0025. (Top right) Ratio of differential counts to model counts. (Bottom left) Cumulative counts of galaxies with spectroscopic redshifts in NED. (Bottom right) Ratio of cumulative counts to model counts.

NOTE: The low fractional completeness (<0.1 at z>0.03) is characteristic of modern spectroscopic surveys which either cover a small solid area on the sky, or target a selected subsample of galaxies within their survey area. NED does its best to incorporate all available published redshifts, and we will update these figures as new data are added.

Return to NED's Home Page.